Pitagora: riassunto della vita, pensiero, filosofia, teorema e dimostrazione

Pitagora viene ricordato come un matematico, taumaturgo, astronomo, scienziato, politico, nonché filosofo greco, fondatore di una delle più importanti correnti filosofiche e culturali del modo attraverso la scuola Pitagorica di Crotone. All’interno dello sviluppo dell’odierna scienza Occidentale Pitagora ha avuto un ruolo particolarmente importante, segnando l’inizio di una corrente incentrata sull’amore per la conoscenza.
Breve riassunto della vita di Pitagora
Secondo le testimonianze di Senofane, Eraclito ed Erodoto, il filosofo Pitagora nacque nella prima metà del VI secolo a.C. all’interno dell’isola di Samo, avvicinandosi alla cultura dell’aristocrazia, trasferendosi in seguito a Crotone. La maggior parte delle leggende pervenute riporta il matrimonio con Teano e la nascita di tre figli maschi. Pitagora fondò una scuola filosofica strettamente incentrata sull’aristocrazia da lui stesso appoggiata senza lasciare mai nulla di scritto. Nel corso della sua storia Pitagora fu inoltre definito un profeta, un guaritore, un mago, oltre alle attribuzioni puramente leggendarie.
Filosofia e pensiero pitagorico
Pitagora, padre fondatore della scuola di Crotone, differenziandosi dal resto delle altre istituzioni in relazione alla teoria sulla ricerca dell’Archè, basata sul principio di tutto ciò che esiste. I principi pitagorici si dimostrano strettamente matematici e filosofici al tempo stesso, legato direttamente anche al famoso Teorema di Pitagora. I pitagorici notarono per primi il legame numerico rapportato a tutte le cose, utilizzandolo all’interno di varie discipline come la scoperta dei suoni e gli intervalli musicali.
Le teoria pitagorica trova una corrispondenza più ampia anche con l’Universo e i suoi fenomeni. Le leggi numeriche del pitagorismo furono estese al corso delle stagioni, degli anni, la regolarità dei cieli, lo sviluppo della vita e il comportamento stesso. I numeri con Pitagora assumono un’importanza superiore alle cose stesse, ipotizzarono anche una contrapposizione tra i numeri pari e i numeri dispari. La corrente più filosofica di Pitagora si concentra sull’anima e sul concetto di Kosmos in opposizione al caos, integrando anche in questo caso la numerologia. Il pitagorismo si rifà anche all’Orfismo ponendo un dualismo tra anima e corpo, separandoli nettamente.
Il Teorema di Pitagora
l Teorema di Pitagora consiste in un teorema della geometria euclidea stabilendo la relazione tra i lati di un triangolo rettangolo, in realtà attribuito al filosofo sotto varie ipotesi incerte in virtù della presenza dello stesso concetto in Cina, India e in Babilonia.
Il Teorema di Pitagora riporta espressamente che preso un triangolo rettangolo, l’area del quadrato costruito sull’ipotenusa è uguale alla somma delle aree dei quadrati costruiti altri due lati. Dunque, dato un triangolo rettangolo ABC come in figura, vale la relazione
a^2 + b^2 = c^2 dove c è l’ipotenusa del triangolo e b, a sono i cateti.
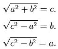
A partire dalla formula principale del teorema di Pitagora si possono ricavare le seguenti formule, che permettono di ricavare la misura di un lato a partire dagli altri due:
Dimostrazione del teorema di Pitagora
Esistono molte dimostrazioni del Teorema di Pitagora, tra queste abbiamo deciso di proporre solo le 2 più conosciute, che risultano di facile comprensione.
La prima dimostrazione è attraverso il primo teorema di Euclide che afferma che il quadrato costruito su un cateto è equivalente al rettangolo avente come dimensioni la proiezione del cateto sull’ipotenusa e l’ipotenusa stessa. La figura di seguito rende evidente come è possibile utilizzare questo risultato per dimostrare il Teorema di Pitagora (aree uguali hanno gli stessi colori):
La seconda dimostrazione del teorema di Pitagora è puramente visuale, infatti, come è possibile notare attraverso la gif tratta da commons.wikimedia.org, il teorema di pitagora è facilmente dimostrabile attraverso una semplice visualizzazione:




